Estimation of Charge Carrier Mobility in Solar Cells: An Introduction to CELIV

In this short blog, we are summarizing the key concept of the popular experimental technique CELIV. A more detailed explanation of this an other characterization techniques for solar cells can be found in our tutorial “Characterization Techniques for Organic and Perovskite Solar Cells”.

  1. Mobility of Charge Carriers

  2. How does CELIV work?

  3. Tutorial: Using CELIV to extract charge mobility & other parameters

  4. Video: Charge Carrier Mobility in Perovskite Solar Cells from CELIV

  5. Conclusions

Mobility of the Charge Carriers

Solar cell efficiency depends on the mobility of electronic charge carriers. For thin-film solar cells such as perovskite (PSC) and organic solar cells (OSC), mobility is expressed in cm2/Vs. It represents the average velocity of free charges toward the electrodes under an external electric field achieved by applying a constant voltage bias to the electrodes. The current in a solar cell is determined also by carrier mobility, with lower mobility resulting in lower current and reduced power output and efficiency. Several techniques have been developed to estimate the mobility of a semiconductor. Surely, the simplest is the analysis of the JV curves with the Mott-Gurney law. Despite the popularity of this method given the easy correlation between mobility and current in the region where J is proportional to V^2, this law is only applicable under a number of assumptions. The most stringent for a solar cell is that the contacts for injection and extraction are Ohmic. While mobility is often used to estimate performance potential, verified record data provides essential context. Explore the latest certified perovskite-silicon tandem solar cell results based on trusted efficiency benchmarks.

Charge Extraction by Linearly Increasing Voltage (CELIV) is an alternative method for the extraction of the charge carrier mobility.

Figure 1: schematic view of a conductor with applied electric field. Electrones (red balls) and holes (blue balls) move toward the electrodes with opposite sign to their charge.

How does Charge Extraction by Linearly Increasing Voltage (CELIV) work?

A popular technique for extracting charge mobility in thin-film solar cells is Charge Extraction by Linearly Increasing Voltage (CELIV).

CELIV originally aims on extracting existing equilibrium charge carriers from the device by applying an increasing electrical field to the semiconductor. During a CELIV experiment, a reverse-direction voltage ramp is applied to the device which allows the extraction of mobile charges. The voltage ramp induces a displacement current (jdisp) dependent on the ramp rate, thickness, and relative permittivity of the photoactive layer. The charge carriers that are extracted lead to a peak in the transient current (jmax).

Figure 2: (left) Schematic illustration of a CELIV experiment. (right) formula of displacement current induced by the linearly changing voltage.

There are several variations of CELIV measurements depending on how charge carriers are generated inside the device before the application of the extraction voltage. Here below there is a list of the most commonly used techniques:

  • Dark-CELIV

  • Injection-CELIV

  • Photo-CELIV

With dark-CELIV, the device is in the dark, and extraction begins at 0V. The voltage ramp is applied in the dark without an offset voltage, resulting in only a constant displacement current. With this measurement, it is possible to extract the relative dielectric permittivity from the displacement current and the doping density by integrating the current, as shown in the figure below.

An injection-CELIV experiment involves applying a positive offset voltage to generate an injection current before the ramp. As the voltage ramp progresses, the current reverses resulting in a peak prior to reaching the displacement plateau. This technique is used to study recombination dynamics.

In Photo-CELIV the sample is both under illumination and an offset voltage around the Voc to prevent the flow of current. Subsequently, during the ramping process, the photogenerated carriers are extracted, leading to a peak atop the displacement current plateau. The measurement presents a current overshoot and the time at which the current peaks is a critical parameter for quantifying carrier mobility. While some groups employ short laser pulses to generate a large number of charges instantaneously before the ramp, our findings suggest that even slight deviations from zero of the pre-ramp current can significantly affect the extracted parameters. Furthermore, we allow for the attainment of a steady-state before initiating the ramp.

Figure 3: (left) Schematic illustration of a photo-celiv experiment. (right) equation for the mobility determination from the photo-CELIV experiment.

However, photo-CELIV can only measure the faster collected charge, so it cannot distinguish between the mobility of electrons or holes. To address this issue, a blocking layer can be added to the collecting electrode to selectively collect only one type of carrier.

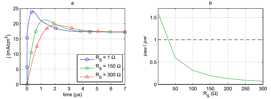
The presence of RC components is another issue affecting transient measurements like photo-CELIV, which is an effect superimposed on the device current that can significantly disturb transient experiments. It is caused by the total series resistance and the geometrical capacitance of the device. A high series resistance causes an underestimation of mobility, as demonstrated by Neukom et al [NEU10] (see Figure 4 below). Minimizing RC effects is advisable for accurate mobility determination. Small area devices have a smaller device capacitance, while metallization and thickness increase of the transparent conducting oxide reduces the series resistance.

FIgure 4: (a) CELIV simulated with varied series resistance. (b) Difference of apparent and reference mobility with increasing series resistance (Rs)


Tutorial: Performing CELIV to learn about mobility & other parameters

CELIV measurements can be performed on both perovskite and organic solar cells. Below you find a video tutorial where we performed CELIV measurements for an organic solar cell with a P3HT:PCBM absorber with the Paios all-in-one platform. With Paios, the RC correction is performed with built-in routines, and the platform is equipped with characterization suite software for easy control of measurement parameters.

We performed Photo-CELIV measurements with varying extraction voltage ramp rate from 50 to 200mV/s and constant illumination, as well as varying illumination intensity from 2% to 100% of the maximum applied illumination with constant voltage ramp rate. In both cases, the solar cell is kept under Voc conditions before charge extraction.

Results

The two photo-CELIV measurements exhibit similar behavior with an initial current peak that slowly decreases over time. The area under the peak increases with the ramp rate and light intensity, indicating an increase in the number of extracted charges. The mobility varies minimally with increasing ramp rate but decreases with light intensity. This is unexpected and may be due to the analytical formula used to extract the mobility that fails to provide reliable values because it assumes uniform charge carrier distribution and no RC effect. However, the median value for mobility is around 10^-5 cm2/Vs for both measurements.

Figure 5: CELIV measurement of organic solar cell with a P3HT:PCBM absorber performed (left) with increasing rampe rate and (right) with increasing illuminatino intensity. The mobility estracted from the two measurements is shown below the plots. The dashed line indicates the median value of the calculated mobility.

Video: Charge Carrier Mobility in Perovskite Solar Cells from CELIV

In the following video Fluxim’s Dr.Antonio Cabas Vidani delves into a key factor affecting the efficiency of thin-film solar cells, such as perovskite or organic cells: charge carrier mobility. He explains how to utilize CELIV for estimating charge carrier mobilities in these solar cells.

Conclusions

Solar cell efficiency depends on the mobility of charge carriers, which can be measured using the CELIV technique. The photo-CELIV variant can collect only one type of carrier, providing insight into their mobility. However, RC effects can affect the accuracy of measurements. To mitigate this, it is advisable to minimize the RC effect by using smaller devices or optimizing device geometry.

The all-in-one platform Paios simplifies the process of measuring charge carrier mobility. With its built-in routines, it is possible to perform RC correction and easily control measurement parameters using the characterization suite software.

If you have more questions or want to learn more about the topic, don't hesitate to explore further or contact our experts in the field.


Get a Paios Demo

An exhaustive explanation of CELIV can be found in the dissertation of Alexander Johann Ludwig Hofmann at University Augsburg.


References

[NEU10] M. T. Neukom et al., “Transient photocurrent response of organic bulk heterojunction solar cells”, Proc. Of SPIE, 2010, p. 77220V. doi: https://doi.org/10.1117/12.854668

Previous
Previous

Angular Resolved Photoluminescence and Electroluminescence of light emitting materials

Next
Next

Perovskite Solar Cell Upscaling Prediction