Space Charge Limited Current (SCLC) and Charge Carrier Mobility in Organic Semiconductors

Quick Overview: Space Charge Limited Current (SCLC)

  • What it is: A current regime in semiconductors where injected charges dominate over thermally generated carriers.

  • Why it matters: SCLC is widely used to extract charge carrier mobility, study trap states, and assess injection barriers in organic and perovskite devices.

  • Fluxim tools: Paios enables precise SCLC measurements; Setfos simulates device physics and validates analytical models like Mott–Gurney.

What is Space Charge Limited Current (SCLC)?


Space charge limited current (SCLC) describes the current flow in a semiconductor or insulator when injected charges dominate over thermally generated carriers. It is widely used to determine charge carrier mobility in organic and perovskite semiconductors. The method relies on analyzing current–voltage (IV) curves of single-carrier devices with ohmic contacts.

Mott–Gurney equation validity conditions

The Mott–Gurney equation describes space-charge-limited current under a specific set of assumptions. It is strictly valid for trap-free charge transport with ohmic contacts, where the injected carrier density dominates over thermally generated carriers. The electric field is assumed to be determined solely by the space charge of the injected carriers, and diffusion currents are neglected.

In practice, additional conditions must also be satisfied. The device thickness must be sufficiently large compared to the Debye length, and contact injection barriers must be low enough to avoid injection-limited current. If traps, field-dependent mobility, or non-ohmic contacts are present, the current–voltage behaviour can deviate significantly from the ideal Mott–Gurney regime, leading to incorrect mobility extraction if these effects are not accounted for.

As a result, careful verification of the transport regime and boundary conditions is essential before applying the Mott–Gurney model to experimental data.

Key validity conditions

  • Trap-free or effectively filled trap states
  • Ohmic charge injection at both contacts
  • Negligible diffusion current
  • Space-charge-limited transport dominates
  • Uniform material properties across the layer

Charge carrier mobility is one of the most important parameters in organic and perovskite semiconductors used in solar cells and light-emitting devices.

This blog post first summarizes the different techniques that are used to extract carrier mobility. Then, it will focus on how to extract it from the IV characteristics of single-carrier devices (SCDs). Device simulations are used as synthetic data to analyze the requirements and limitations of the analytical Mott-Gurney law. Understanding charge mobility is critical — but it’s just one piece of the puzzle. For a full picture of efficiency and long-term performance, see our curated overview of certified perovskite tandem solar cell records.

Introduction

Various experimental techniques are used to extract the charge carrier mobility. Interesting techniques are time-resolved terahertz spectroscopy, time-resolved microwave conductance, CELIV, and space-charge-limited current (SCLC). [1] Even if we limit ourselves to the electrical measurements available in our instrument PAIOS, there are different methods to choose from. All these methods have their specific requirements, advantages, and disadvantages.

An overview of techniques is given in Table 1.

Techniques to Determine the Charge Carrier Mobility in Semiconductors.
METHOD MEASUREMENT DEVICE REQUIREMENTS
Space Charge Limited Current (SCLC) Current-Voltage (steady-states) Unipolar (Single-carrier Device) Ohmic Contacts
Dark-Injection Transient (DIT) [1] [2] Voltage Pulse (Transient) Unipolar (Single-carrier Device) Ohmic Contacts
Charge Extraction By Linar Voltage (CELIV) [3] Voltage Ramp (Transient), light pulse Bipolar (diode) Metal-Insulator-Semiconductor (MIS) < 1 non-injecting blocking contact
Time of Flight (ToF) [4] Light and Voltage Pulses (Transient) Unipolar Single-Carrier Device or Bipolar Ohmic contacts (energetically aligned)
Transient Electroluminescence (TEL) [5] Voltage Pulse (Transient) OLED Energetically disaligned contacts
Negative Differential Susceptance [6] [7] Impedance Spectroscopy Unipolar (Single-carrier Device) Ohmic Contact

SCLC is a steady-state method requiring ohmic contacts, while CELIV and ToF are transient techniques suited for different device structures and timescales. CELIV is often used for thin-film diodes with blocking contacts, whereas ToF requires thick layers (>1 µm) and probes transport over longer distances.

Most experiments are performed on either hole- or electron-only single-carrier devices (SCDs). These devices consist of a single semiconducting layer sandwiched between two electrodes – optionally with additional charge injection and/or -transport layers. 

Figure 1: representive device structure of a single-carrier device (SCD). a) electron-only devie, b) hole-only device.

When extracting the charge carrier mobility from any experimental technique, it is important to understand “which carrier mobility” they can give. It is also important to ensure that the structure and fabrication processes of the device used to determine the mobility are comparable to those of the real sample. Different techniques probe different timescales (after photoexcitation) and may be affected by thermalisation effects. [8] Moreover, if the interest is extracting the mobility of the active layer of a solar cell, the values extracted by measuring a Field-Effect Transistor (FET) should not be used (because the FET gives the in-plane mobility). Also, it would be necessary to exclude the Time-of-Flight (ToF) because this requires devices with a semiconducting layer thickness > 1 µm (rarely achievable from solution processing techniques typically used for thin-film devices).

Using the Mott-Gurney model (MG) to analyse the IV characteristics of SCDs is probably the most popular technique to extract the mobility of an organic semiconductor sandwiched between two electrodes. Beyond The standard MG model has also been extended by the inclusion of several contributions: the influence of distributed trap states, the effects of the electric field on the trap depth, and the effect of non-ohmic metal/insulator interfaces. [9][10]

Generally, these models are complex mathematical formulations that do not provide a unique description of the material under analysis. However, when only discrete trap levels influence the space charge current, simple analytical equations are available, and several parameters regarding the charge carrier mobility, the density of thermal free carriers and the density/depth of charge traps can be obtained by the analysis of a single IV characteristic. The advantage of the Mott-Gurney model is that it gives a straightforward equation with few variables. However, this must be used very carefully because the derivation of this equation is subjected to several preliminary assumptions in the model.


This blog aims to clarify to what extent the Mott-Gurney model can be used. We will review the MG model's limitations using device simulations and make specific recommendations for experimentalists.


Background of Analytical Models for IV Data

The Space charge limited current theory describes the steady state response of an organic material (or, in general, of an insulator) to an applied bias. Charge injection in a conventional semiconductor occurs without the accumulation of charge because of the high mobility of the charge carriers. On the other hand, an organic semiconductor is usually quite an electrically insulating material with a low density of thermally generated free carriers n0. As soon as the density of the injected charges is higher than n0, the material becomes charged with a stationary space charge that, depending on the properties of the materials, can be free or trapped in localized states. This space charge strongly influences the electric field distribution that, in this case, is not constant through the bulk of the material.

Following the descriptions by Röhr et al. [12], the IV curve of an SCD can be divided into three different regimes. However, as the authors show, not all three regimes can be seen in many cases.

In the low voltage regime, the current depends linearly on voltage. In the case of trap and doping-free semiconductors and non-limited charge carrier injection, the mobility can be inferred from this region using (Equation 1): [13]

J= 4π2 μkBT q ε0 εr V L3
Low-voltage diffusion regime: current density increases linearly with V and decreases with L³.

Here, q is the elementary charge, µ is the mobility, kBT is the thermal energy, ε0 and εr are the vacuum and relative permittivity, respectively, and L is the layer thickness.  If the semiconductor is (unintentionally) doped, the current can also appear linear with voltage due to Ohmic conduction. In this case, the analytical formula reads (Equation 2): [14] 

J= qμN V L
Ohmic regime: current density increases linearly with voltage and decreases with layer thickness L.

Where N is the carrier concentration. The different thickness scaling should be noted here. This different scaling with thickness can be used to assess whether a material is unintentionally doped (1/L) or governed by diffusion (1/L3), given that multiple layer thicknesses are available.[15] However, the required doping concentration to evaluate the charge carrier density correctly needs to be rather high (> 10^18 cm-3). [14] 

In the intermediate voltage regime, when diffusion of charge carriers becomes negligible, the well-known Mott-Gurney (MG) equation describes the current-voltage relation (Equation 3): [16] 

J= 9 8 μ ε0 εr V2 L3
Mott–Gurney law: current density increases quadratically with applied voltage and decreases with the cube of layer thickness.

The analytical model is only valid if the following conditions are met [12]: (i) negligible intrinsic charge-carrier concentration (no doping), (ii) Ohmic contacts (no barriers), (iii) no traps or energetically disordered states, (iv) current is only composed of drift.

In the high voltage regime, the current can become again linear with voltage and be described by (Equation 4): [12]

J= qμ NC V L exp ( q ϕinj kBT )
High-voltage regime: current density depends on injection barriers, showing exponential suppression with increasing barrier height.

Where Nc is the density of charge carriers, and qϕinj is the energetic barrier at the electrode. 

Testing the limit of the Mott–Gurney model with Setfos

There are quite a few publications in which the limitations of the previous analytical formulas have been analysed. Often, this is done by generating synthetic data using drift-diffusion device models and comparing the extracted mobility with the input value. The above-mentioned paper by Röhr et al., presents an extensive overview on the validity of the MG equation for a range of device thicknesses in the case of trap states, non-Ohmic contacts and a combination thereof. In the case of no injection or extraction barrier, the slope of the JV curve only approaches 2 at high voltages (> 20 V) and eventually decreases even for devices < 100 nm at higher voltage. For existing barriers, the slopes even stay significantly below 2. The SCLC analysis still leads to reasonable mobility values, especially for thick devices (> 100 nm).

We performed drift-diffusion simulations with the software Setfos to analyse the limitations of the analytical MG law in special cases like the presence of injection barriers or electrical doping. Figure 2 shows the workflow of the performed consistency check. A model of the SCD is set up in Setfos to generate synthetic JV curves. We then fit the MG model to the simulated JV curve and compare the extracted mobility with the one we used in Setfos. This procedure allows us to assess the validity (range) of analytical models such as the MG law.

Since analytical formulas like the Mott–Gurney law are based on simplifying assumptions, it is essential to validate them with drift-diffusion simulations. Setfos allows researchers to test these assumptions, generate synthetic JV curves, and compare extracted mobilities with true values.

Figure 2. Sketch of a consistency check. A device model is setup in Setfos to generate synthetic JV curves. Applying the analytical model to this data and comparing the extracted parameter with the input value allows to assess the reliability of the analytical model. You can reproduce this workflow directly in Setfos to validate your experimental mobility extraction.”

The input parameters for the different simulations are shown in Table 2. The “base case” represents a very simple device structure without an energetic barrier. For all cases, the simulations are performed for three devices with thicknesses of 60, 120, and 240 nm. For the shunted device, we use a parallel resistor that is either fixed or varied with layer thickness.


Validate Your Experiments with Setfos

Parameter

Base (a)

Barrier (b)

Low mobility (c)

Doping (d)

Shunt (e)

Field-enhanced mobility (f)

Barrier 1 [eV]

0

0.3

Barrier 2 [eV]

0

0.1

Relative permittivity

4

(Zero-field) Mobility [cm2/Vs]

2e-3

2e-4

Field-enhancement coefficient [(m/V)1/2]

-

5e-4

Doping [cm-3]

-

1e17

Parallel Resistance [Ω]

1e9

1(*d[nm]/60)

Table 2. Input parameter used for the simulation of synthetic SCD JV data. For simplicity, only the changes with respect to the base case are shown. 

JV Characteristics – Slope Analysis

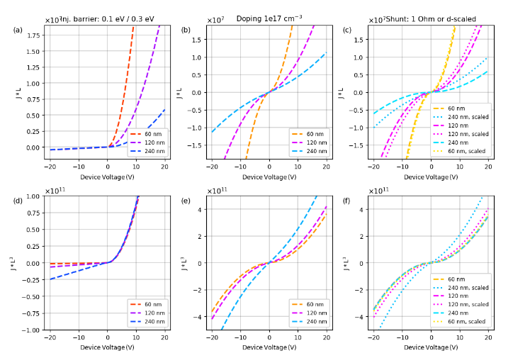
Figure 3 shows the simulated JV curves and the analysed slopes (dlogJ/dlogV) as a function of voltage.

The theoretically expected slope of 2 is not reached in most cases but approaches the value for large voltages. In the case of an injection barrier of 0.3 eV (Figure 3b), the slope saturates at a value of 1, in line with findings by Röhr et al.[12] A slope considerably below 1 can occur in (thick) doped or (thin) shunted devices as well as for an injection barrier of ~0.3 eV. The latter can potentially be identified by the slope vs. voltage behaviour.  

Fig. 3. Simulated JV (full line) and slope (dlogJ/dlogV) vs. voltage (dashed line) using six sets of parameters (see Table 2). 

The doped devices and the thickness-scaled shunted devices show similar slopes, which are (well) below the theoretically expected value of 2. Therefore, the slope and the change in layer thickness are not a good indication to distinguish these two effects in the experiment. We also conducted further tests using simulations to analyse whether the doped devices could somehow be separated from a purely shunted device considering also other measurements. For example, whether the extracted geometrical capacitance and parallel resistance from electrical impedance spectroscopy would show significantly different trends for doped vs. shunted devices was analysed. However, both types of devices simply show roughly the same values.  

Thickness Scaling

As suggested in the literature [15], multiplying the current with L^-1 or L^-3 should shed light on the applicability of the MG law in the intermediate to high voltage range. This would allow us to distinguish between equations (1) and (2) for the low voltage regime.

Figure 4 shows the expected L^-3 scaling for the simulated cases (a) - (c). 

Figure 4. JL^3 scaling of the simulated JV curves. 

The cases with slopes clearly below 2 (injection barrier 0.3 eV, doping, and scaled shunt) are further interesting to analyse. A barrier of 0.3 eV leads to a linear scaling with thickness (Figure 5a below). Surprisingly, the doping does not lead to a purely Ohmic conduction. The doping level of 1e17 cm-3 (1:10’000) is probably too low, which is also in line with previous publications. [5] 

It is worth doing such scaling plots, as doping and the 0.3 eV barrier show a different JL behaviour. 

Figure 5. L and L^3 scaling of the cases barrier, doping and shunt.

Extraction of the Carrier Mobility with the Mott–Gurney Law

To evaluate the validity of the mobility extraction with the MG model, we fitted equation (3) to the simulated JV curves (see Figure 3, using cases shown in Table 2) between 10 – 20 V. To quantify the error between the input mobility and the one extracted with the MG model, we define the relative error as (Equation 5):

Relative Error (%) = μinput μSCLC μinput
Relative error definition: compares mobility extracted by SCLC to the true input mobility.

Figure 6 shows the value for all the different cases. For cases (a) – (d) the relative error is below 3%. Especially for situation (d), this is remarkable, as the analysed slope is – depending on the thickness – between 1.3 – 1.9. Only for the thick shunted device, the mobility is overestimated clearly. The cases with field-enhanced mobility are fitted with the Murgatroyd extension and result in underestimated mobility of 30 – 80%.  

Fig. 6. Relative error of the extracted mobility using the MG equation. 

Not shown in Figure 6 is the determined mobility from the reverse current in Figure 3b (injection barrier of 0.3 eV), which is 20 (240 nm thick device) – 500 times (60 nm thick device) lower than the input value! Such a strong thickness scaling of the extracted mobility would in-turn be a good indication that the value is affected by an energetic barrier. In contrast, the presence of an injection barrier is not always retrievable from the slope alone. The presence of trap states can increase the slope again, yielding to an overall value of 2 which is then mistakenly interpreted as perfect MG behaviour. [12]  

Applications of SCLC (OLED mobility studies, perovskite transport, trap analysis)

The space charge limited current (SCLC) technique is widely used to investigate charge transport and defect physics in semiconductors.

  • OLED mobility studies
    SCLC is a standard method to determine electron and hole mobilities in organic light-emitting diodes (OLEDs), providing insight into charge balance and device efficiency. Accurate mobility data guide material selection and layer design [Blakesley et al., 2014]. Experimental measurements can be performed with Paios, which enables precise current–voltage characterization of single-carrier devices.

  • Perovskite charge transport
    In metal-halide perovskites, SCLC is used to quantify carrier mobility and identify traps that impact recombination and stability [Röhr et al., 2018]. Simulations with Setfos allow researchers to test the validity of the Mott–Gurney model under realistic conditions, complementing experimental measurements.

  • Trap state characterization
    Deviations from ideal SCLC behavior can reveal trap density, trap depth, and energy distribution [Murgatroyd, 1970]. Such information is critical for understanding losses in thin-film solar cells and light-emitting devices. Trap-limited SCLC analysis is supported by both Paios experiments and Setfos simulations.

  • Injection barrier assessment
    SCLC measurements can diagnose injection barriers at the electrode–semiconductor interface [Wetzelaer & Blom, 2014]. By combining experimental JV data from Paios with drift-diffusion simulations in Setfos, researchers can disentangle injection effects from intrinsic mobility.

Together, these applications highlight the versatility of SCLC as a diagnostic tool linking microscopic transport phenomena to device-level performance, supported by Fluxim’s measurement and simulation platforms.

Conclusions

We presented an overview of electrical characterisation techniques to determine the charge carrier mobility and outlined in more detail the analysis of the IV curve of a single-carrier device. The most common technique for organic semiconductors is to fit the Mott-Gurney model to the measured data. Therefore, we analyse this model's limitations by fitting the MG equation to simulated JV data. The method works well for simple device structures, but care must be taken when shunts, large injection barriers and/or doping are present.  

Based on our analysis, we came up with the following take-home messages for experimentalists:

  • Plot dlogJ/dlogV vs. voltage: The absolute slope value can give a first indication.  

    • If it is beyond 2, a field-enhanced mobility formula is advisable. Still, trap states can affect the model.  

    • If the slope is closer to 1, this could indicate that the layer of interest is (unintentionally) doped. But it could also be an injection limitation. The trend with voltage eventually points towards an unintentionally doped layer. 

  • Plot JL and JL^3 vs. voltage: Potentially identify high unintentional doping and injection barriers. 

    • A slope <2 is often observed and does not necessarily mean that the MG law yields wrong results. 

    • Extracted mobility values that show a clear thickness dependence indicate issues with the devices: injection barriers (> 0.2 eV), high doping densities (> 1e18 cm-3) and/or shunts. 

FAQ Section

  • What is the Mott–Gurney law for space charge limited current?
    The Mott–Gurney law gives the voltage dependence of space charge limited current (SCLC): J = (9/8)εμV²/L³, where ε is permittivity, μ is mobility, V is applied voltage, and L is layer thickness.

  • When does the Mott–Gurney law fail?
    It fails if the semiconductor has doping, trap states, non-ohmic contacts, or field-enhanced mobility.

  • How do researchers use SCLC to measure mobility?
    By fitting the Mott–Gurney law (or its extensions) to IV data from hole-only or electron-only devices, mobility values can be extracted.

  • How is SCLC used in OLED research?
    In organic light-emitting diodes (OLEDs), SCLC is used to extract electron and hole mobilities from single-carrier devices. This helps researchers optimize charge balance and improve luminous efficiency. Tools like Paios provide precise I–V measurements for OLED mobility studies.

  • Why is SCLC important for perovskite solar cells?
    SCLC analysis in perovskites provides carrier mobility values and reveals trap densities that strongly affect recombination and long-term stability. Setfos simulations can validate whether the Mott–Gurney law is applicable under realistic device conditions.

  • Can SCLC identify trap states in semiconductors?
    Yes. Deviations from the ideal Mott–Gurney behavior allow extraction of trap density, trap depth, and energetic distribution. This information is key for improving thin-film devices such as perovskite solar cells and OLEDs.

  • What do SCLC measurements reveal about injection barriers?
    If current–voltage curves deviate from the expected quadratic voltage dependence, SCLC can indicate injection barriers at the electrode–semiconductor interface. A combined approach using Paios experiments and Setfos simulations helps separate injection effects from intrinsic mobility.


SETFOS helps you Validating Your Experimental Results

References

[1] M. Z. Szymanski, B. Luszczynska, J.-M. Verilhac, P. Reiss, and D. Djurado, “Simplified transient space-charge-limited current measurements of mobility using transimpedance amplifier,” Org. Electron., vol. 14, no. 1, pp. 230–235, Jan. 2013 DOI: https://doi.org/10.1016/j.orgel.2012.11.006

[2] J. Scott, S. Ramos, and G. Malliaras, “Transient space-charge-limited current measurements of mobility in a luminescent polymer,” J. Imaging Sci. Technol., vol. 43, no. 3, pp. 233–236, 1999, DOI: https://doi.org/10.2352/J.ImagingSci.Technol.1999.43.3.art00007

[3] G. Juška, K. Genevičius, K. Arlauskas, R. Österbacka, and H. Stubb, “Charge transport at low electric fields in π-conjugated polymers,” Phys. Rev. B, vol. 65, no. 23, p. 233208, 2002. DOI: https://doi.org/10.1103/PhysRevB.65.233208

[4] A. Pivrikas, N. S. Sariciftci, G. Juška, and R. Österbacka, “A review of charge transport and recombination in polymer/fullerene organic solar cells,” Prog. Photovoltaics Res. Appl., vol. 15, no. 8, pp. 677–696, 2007. DOI: https://doi.org/10.1002/pip.791

[5] D. J. Pinner, R. H. Friend, and N. Tessler, “Transient electroluminescence of polymer light emitting diodes using electrical pulses,” J. Appl. Phys., vol. 86, no. 9, pp. 5116–5130, 1999 DOI: https://doi.org/10.1063/1.371488

[6] N. D. Nguyen, M. Schmeits, and H. P. Loebl, “Determination of charge-carrier transport in organic devices by admittance spectroscopy: Application to hole mobility in a-NPD,” Phys. Rev. B, vol. 75, no. 7, p. 075307, 2007, DOI: https://doi.org/10.1103/PhysRevB.75.075307

[7] M. Schmeits, “Electron and hole mobility determination in organic layers by analysis of admittance spectroscopy,” J. Appl. Phys., vol. 101, no. 8, p. 084508, 2007, https://doi.org/10.1063/1.2719014

[8] A. Melianas and M. Kemerink, “Photogenerated Charge Transport in Organic Electronic Materials: Experiments Confirmed by Simulations,” Adv. Mater., vol. 31, no. 22, p. 1806004, 2019, DOI: https://doi.org/10.1002/adma.201806004

[9] P. N. Murgatroyd, “Theory of space-charge-limited current enhanced by Frenkel effect,” J. Phys. D. Appl. Phys., vol. 3, no. 2, p. 308, 1970, DOI 10.1088/0022-3727/3/2/308

[10] G. A. H. Wetzelaer, “Improved Determination of the Mobility and Built-In Voltage in Asymmetric Single-Carrier Devices,” Phys. Rev. Appl., vol. 13, no. 3, p. 034069, 2020.

[11] J. C. Blakesley et al., “Towards reliable charge-mobility benchmark measurements for organic semiconductors,” Org. Electron., vol. 15, no. 6, pp. 1263–1272, 2014. DOI: https://doi.org/10.1016/j.orgel.2014.02.008

[12] J. A. Röhr, D. Moia, S. A. Haque, T. Kirchartz, and J. Nelson, “Exploring the validity and limitations of the Mott–Gurney law for charge-carrier mobility determination of semiconducting thin-films,” J. Phys. Condens. Matter, vol. 30, no. 10, p. 105901, Mar. 2018. DOI: https://doi.org/10.1088/1361-648x/aaabad

[13] A. A. Grinberg and S. Luryi, “Space-charge-limited current and capacitance in double-junction diodes,” J. Appl. Phys., vol. 61, no. 3, pp. 1181–1189, 1987. DOI: https://doi.org/10.1063/1.338165

[14] J. A. Röhr, T. Kirchartz, and J. Nelson, “On the correct interpretation of the low voltage regime in intrinsic single-carrier devices,” J. Phys. Condens. Matter, vol. 29, no. 20, p. 205901, 2017, DOI 10.1088/1361-648X/aa66cc

[15] G. A. H. Wetzelaer and P. W. M. Blom, “Ohmic current in organic metal-insulator-metal diodes revisited,” Phys. Rev. B, vol. 89, no. 24, p. 241201, 2014, DOI: https://doi.org/10.1103/PhysRevB.89.241201

[16] N. F. Mott and R. W. Gurney, Electronic Processes in Ionic Crystals. Oxford: Oxford University Press, 1940. DOI: https://doi.org/10.1038/164377a0

[17] G. Zuo, Z. Li, O. Andersson, H. Abdalla, E. Wang, and M. Kemerink, “Molecular Doping and Trap Filling in Organic Semiconductor Host-Guest Systems,” J. Phys. Chem. C, vol. 121, no. 14, pp. 7767–7775, 2017. DOI: https://doi.org/10.1021/acs.jpcc.7b01758

[18] N. Felekidis, A. Melianas, and M. Kemerink, “Automated open-source software for charge transport analysis in single-carrier organic semiconductor diodes,” Org. Electron., vol. 61, no. March, pp. 318–328, 2018. DOI: https://doi.org/10.1016/j.orgel.2018.06.010

[19] N. B. Kotadiya, A. Mondal, S. Xiong, P. W. M. Blom, D. Andrienko, and G.-J. A. H. Wetzelaer, “Rigorous Characterization and Predictive Modeling of Hole Transport in Amorphous Organic Semiconductors,” Adv. Electron. Mater., vol. 1800366, p. 1800366, 2018. DOI: https://doi.org/10.1002/aelm.201800366

[20] G. Zuo, M. Linares, T. Upreti, and M. Kemerink, “General rule for the energy of water-induced traps in organic semiconductors,” Nat. Mater., vol. 18, no. 6, pp. 588–593, 2019. DOI: https://doi.org/10.1038/s41563-019-0347-y

Previous
Previous

Aging and Characterization of High-Bandgap Perovskite Solar Cells

Next
Next

Highest Efficiency Solar Cells: Perovskite Solar Cells (2026 Update)