TADF OLEDs and Hyperfluorescent OLED Simulation with Setfos
Introduction
Organic light-emitting diodes (OLEDs) are the must-have displays in TVs, phones, and medical displays. This fairly new technology has introduced great innovations as formable, ‘wrap around’ phone displays, flexible displays, ultrahigh-resolution 4K, expanded color gamut, and high dynamic range displays. Every new generation of OLED TV has been acclaimed as the best TV screen ever by many independent reviewers. OLED displays are beginning to appear in laptops, and automotive lighting is slowly taking off.
The power efficiency of OLEDs has been improved continuously since the first introduction of this technology. The first generation used fluorescent emitters and had a maximal internal quantum efficiency (IQE) of 25%. Thanks to the use of phosphorescent emitters, the second generation of OLEDs had a potential IQE limit of 100% (Lee et al. 2019). The second generation, however, suffered from faster material degradation, especially for blue emitters. The third generation could circumvent some of those problems by employing thermally activated delayed fluorescence (TADF) emitters. TADF emitters can theoretically reach an IQE of 100%.
Like phosphorescence, TADF is a 100% efficient mechanism that converts triplet states into emissive singlet excited states. This enables a 100% internal quantum efficiency (IQE). Recent rapid advances have shown that deep blue emission with an external quantum efficiency (EQE) above 22% is possible. When this is coupled to enhanced out-coupling through self-orientation of emitter molecules, and low refractive index transport layers, it can even boost the EQE above 40%. This creates a step-change for OLEDs. Displays could be manufactured with just blue pixels, with red and green generated by down-converting phosphors. This would greatly simplify panel fabrication, increasing panel yield, and driving the reduction of the fabrication costs.
Another significant advantage of TADF emitters is that with this solution there is no usage of scarce precious metal resources. Unfortunately, with TADF emitter the trade-off is a broader emission spectrum, leading to a lower color purity (Adachi et al. 2019). Different TADF approaches have been then employed to increase the efficiency of fluorescent OLEDs including TADF emitting molecules, TADF assistant dopant molecules, TADF exciplex hosts, or several different combinations of them.
The fourth and most promising generation of high-efficiency OLEDs combines fluorescent emitters with TADF materials, where the energy levels are aligned such that very efficient Förster energy transfer from the TADF material to the fluorescent emitter takes place. This gives high efficiency, high color purity, and long OLED lifetimes. This process is known as Hyperfluorescence.
Here, we are presenting how to perform optical and electrical simulations on Hyperfluorescence OLEDs by using the software Setfos.
ig. 1. (left) Schematic emission spectra and intensities for first (fluorescence), third (TADF) and fourth (hyperfluorescence) generation OLED. (right): Hyperfluorescence has a narrower spectral bandwidth, leading to a higher color purity.
Physical Processes
What is Thermally Activated Delayed Fluorescence?
An exciton is a quasi-particle that is generated from an encounter of an electron and a hole. The two charges are attracted to each other thanks to their Coulomb interaction. Excitons can be distinguished into two types, depending on the properties of the material in which they form: Wannier-Mott excitons and Frenkel excitons. Wannier-Mott excitons form usually in materials that possess a large dielectric constant (≈ 11-16), like inorganic semiconductors. The large dielectric constant causes the binding energy of the exciton to be small (14.7 meV for Si, 4.7 meV for GaAs, 2.7 meV for Ge) and therefore the distance between the positive and negative charges is large (4-10 nm). Frenkel excitons instead form in materials with a low dielectric constant (≈ 3-4), like organic semiconductors. In this case, the binding energy of the exciton is much larger, and therefore the electron-hole pair is closer, forming small-range excitons (0.5-1 nm). Since the exciton is a composition of two particles with half-integer spin, an electron, and a hole, the total spin can be either 0 (singlet exciton) or 1 (triplet exciton). The energy of the two states is not identical, the singlet exciton has a larger energy than a triplet exciton. When an exciton recombines, energy is released in different forms: heat, the creation of a defect state, and photochemical changes of the excited material (classified as nonradiative recombination) or by the generation of a photon (radiative recombination). Of course in the context of OLEDs, the goal is to minimize the first one and maximize the second one such that the efficiency of the device is maximized. The terms fluorescence and phosphorescence are used to refer to the radiative recombination of a singlet and triplet exciton, respectively. The generation of singlet and triplet excitons is not equal, and it is governed by spin statistics. In the case of electrical excitation, only 25% of excitons are singlet, while 75% are triplets.
Thermally Activated Delayed Fluorescence (TADF) emitters are fluorescent materials with the peculiarity of being able to take advantage of the large triplet population. A key role is played by the energy difference between the singlet and triplet states. The peculiarity of these fluorescent emitters is that non-emissive triplet states are efficiently converted into singlet states, which can radiatively decay. The process of conversion from triplet to singlet states is called reverse-intersystem crossing (RISC).
Physical processes in Thermally Activated Delayed Fluorescence
By simplifying a complex picture, a generic fluorescent emitter for OLEDs can be seen as a system with three main energy levels S0 (singlet ground state), S1 (singlet excited state) and T1 (triplet excited state). Fig 2a shows the simplified picture we are using to describe a fluorescent material. The radiative decay of an exciton from the excited state S1 to the ground state S0 in the material results in emission of light. According to the spin statistics, the proportion of singlet and triplet excitons in an OLED is 25% - 75%, respectively. This means that in a normal fluorescence emitter only 25% of the exciton population can participate to emission, leading to a maximum EQE of 25%.
Thermally Activated Delayed Fluorescence (TADF)-emitters are a peculiar class of materials where the strong coupling between the two excited states S1 and T1 are strongly coupled. This coupling induces a large reverse-intersystem crossing rate (RISC), which enables the transfer of excitons from the non-emissive triplet state (T1) to the emissive singlet state (S1). The increase of the population of the emissive state, S1, leads to a higher EQE, which can reach values as high as 100% if non-radiative decay processes.
Fig. 2a. Excitonic processes (simplified) in Thermally Activated Delayed Fluorescence.
In a TADF-emitter the large coupling between S1 and T1 is given by the small energy gap between the two states (ΔEST). When ΔEST is smaller than 100 meV, the thermal energy is enough to activate the RISC process, hence the term “Thermally activated”. The RISC process is anyway slower than the fast radiative decay of S1, this is the motivation behind the use of the word delayed in the acronym TADF. A small ΔEST can be achieved in molecules with a donor-acceptor structure (D-A), in which the HOMO-LUMO orbitals are spatially delocalized on the molecule. The large delocalization induces a smaller superposition integral of the HOMO-LUMO orbitals which results in a reduction of ΔEST. A more detailed explanation on this topic is left to the reader(Yifan). Surely, the description we are giving here is oversimplified since, in an actual system, the RISC process is a complex process that does not depend only on ΔEST. This process has been clearly described by Penfold et al(Penfold).
The important point to remember is that TADF emitters are fairly complex systems characterized by the parameters kisc, Krisc, and ΔEST. These parameters are typically extracted from Trasient Photoluminescence (TrPL) experiments, which can also be be simulated with the simulation software Setfos. This allows direct and straightforward extraction of the relevant material parameters and allows to understand the full complexity of the host-guest systems without the need of unrealistic simplifications.
Physical processes in Hyperfluorescence OLEDs
Hyperfluorescence is an innovative and high-efficiency process, where TADF is used. The high Internal Quantum Efficiency (IQE) in hyperfluorescence OLEDs is normally achieved by using a single host dual guest system. Free charge carriers move in the host material and recombine to form excitons on the TADF guest material. Most of the generated excitons will be triplet excitons, based on spin statistics (ratio of singlets to triplets 1:3). The TADF enables the conversion from triplet to singlet excitons through a reverse intersystem crossing (RISC) process. The singlet excitons from the TADF material are transferred to the singlet state of the fluorescent guest emitter by Förster resonant energy transfer (FRET). The photons are finally emitted from the fluorescent guest with high efficiency and narrow bandwidth. Each of these processes has a certain chance to decay into the ground state without any light generation (Nakanotani et al. 2014).
The energy level diagram in Fig. 2b shows the different excitonic states in such a hyperfluorescent OLED. To achieve high efficiencies and long lifetimes the host, TADF, and emitter materials have to be adjusted/combined carefully.
Fig. 2b. Excitonic processes (simplified) leading to light emission in hyperfluorescent OLEDs.
Simulation Results
The complex interactions between various materials pose a challenge to understand and optimize hyperfluorescent OLEDs. An international Team of scientists from Switzerland and South Korea tackled this challenge by using the semiconductor simulation software Setfos to analyze and optimize hyperfluorescent OLEDs (Regnat et al. 2019).
Fig. 3. Layer stack and energy levels for the investigated hyperfluorescent exciplex OLED.
Their multilayer OLED stack employed a TADF exciplex host (TCTA:B4PYMPM) with a fluorescent emitter (DCJTB). They not only simulated charge transport and light emission through their multilayer structure but also accounted for the full exciton dynamics. The following energy diagram shows the main transfer and decay pathways for excitons generated on the TADF exciplex host. All these possible pathways were simulated within Setfos.
Figure 4: Detailed summary of the excitonic processes and their rates (left) in the emission layer and their representation as a simulation input in Setfos (right).
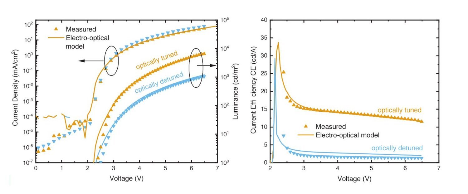
The authors built two different samples: an optically optimized sample to get the highest EQE, and an optically detuned one, which is used to investigate and understand the shape of the emission zone using the gonio-spectrometer Phelos. First, they measured and simulated steady-state JV curves and luminance using Paios together with the simulation software Setfos. A good fit has been found for both samples over several orders of magnitude in current as well as luminance.
(left) Measurement and simulation of JV characteristics and luminance of optimized and optically detuned OLEDs. (right) Measurement and simulation of the external quantum efficiency for the samples. A good fit has been found showing the high reliability of the simulation results.
Then, they did angular resolved measurements. One of the highlights of their study was that the investigated OLEDs show a split-emission zone within the emission layer. Not only the steady-state but also transient measurements and simulations have been performed. The authors observed, also, the fingerprint of a split emission zone in their hyperfluorescent OLEDs.
Measurement and simulation of the transient turn-off behaviour of an optically tuned hyperfluorescent OLED. The peak at around 0.4 us is a clear indication of a split emission zone.
By combining all these measurements and simulations, the authors are highlighting different efficiency loss processes and are giving recommendations for further improvements of a TADF OLED.
Fig. 5. Contribution of the triplet harvesting in the TADF exciplex host to the overall EQE depending on the applied voltage.
The simulation clearly shows the External Quantum Efficiency (EQE) enhancement due to triplet exciton harvesting in the TADF exciplex host, leading to the high efficiency of this hyperfluorescent OLED. Unfortunately, there is a significant roll-off observed in the current system.
The authors then looked at possible optimization scenarios to analyze the most promising pathways to further improve the EQE of their multilayer system. They found that at high luminance the EQE can be drastically increased by either increasing the intersystem crossing rate or reducing the triplet-triplet annihilation rate in the TADF exciplex host.
If we have sparked your interest in simulating and optimizing hyperfluorescent OLEDs using Setfos, get in contact with us.
Fig. 6. Summary of the various optimization pathways on the overall EQE depending on the luminance.
References:
Regnat, M. et al. Routes for Efficiency Enhancement in Fluorescent TADF Exciplex Host OLEDs gained from an Electro-Optical Device Model. Adv. Electron. Mater doi:10.1002/aelm.201900804.
Lee, J. H. et al. Blue organic light-emitting diodes: Current status, challenges, and future outlook. J. Mater. Chem. C 7, 5874–5888 (2019). https://pubs.rsc.org/.
Julien Eng and Thomas J. Penfold, Chem. Rec. 2020, 20, 1, (2020). https://onlinelibrary.wiley.com/doi/full/10.1002/tcr.202000013
Yifan Li et Al. J. Mater. Chem. C, 5, 3480, (2017). DOI: 10.1039/C7TC00119C
Adachi, J., Kakizoe, H., Tsang, P. K. D. & Endo, A. 10.1: Invited Paper: HyperfluorescenceTM; a Game Changing Technology of OLED Display. SID Symp. Dig. Tech. Pap. 50, 95–98 (2019) https://onlinelibrary.wiley.com/.
Nakanotani, H et al. High-Efficiency Organic Light-Emitting Diodes with Fluorescent Emitters. Nature Communications 5 (30. Mai 2014) https://doi.org/10.1038/.