Advanced OLED Research with Setfos – Insights from Professor Chris Giebink

Professor Chris Giebink earned his Ph.D. from Princeton University, focusing on organic light-emitting diodes (OLEDs) and lasers. After completing a postdoc at Argonne National Laboratory, he became an Assistant Professor at Penn State University. In 2023, he was promoted to Full Professor at the University of Michigan. He holds 11 patents and is a senior member of IEEE, OSA, SPIE, and the National Academy of Inventors. 

In 2019, Prof. Giebink's research group integrated Setfos into their research. Setfos allows them to substantiate their experimental results through numerical simulation. Chris says,

"SETFOS has been a great tool for our OLED and OPV research. It is intuitive to use and has a user-friendly interface that allows new researchers to spin up quickly in device design and modeling. The flexibility to integrate SETFOS with Python and other languages has been especially useful in enabling us to extend our modeling and automate some of our simulation routines. The Fluxim staff are quick to address questions and are proactive in improving and extending the capabilities of SETFOS based on user feedback.

Here are some examples showing how Setfos helped Giebink’s group with its work.  

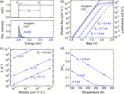
  1. Thermodynamic Limits in OLEDs 

To understand the thermodynamic limit of an OLED, the team studied how the strong exciton binding affects the operation voltage of an OLED compared to inorganic LEDs. Drift-diffusion simulations performed with SETFOS were used to analyze the influence of the exciton binding energy on the luminance at different voltages. With the simulations, they derived parameters such as exciton binding energy and exciton lifetime. This work concludes that the best phosphorescent and TADF OLEDs have probably reached their thermodynamic limit. It emphasizes the importance of low exciton binding energy and high carrier mobility for developing efficient OLEDs.[1] 

2. Total Refractive Index 

Another study investigated whether diluting the OLED stack with an electrically inert molecule with a low refractive index can improve the internal light extraction without affecting the electrical properties. The results show that the approach was successful and internal light extraction could be improved to up to 35 % without affecting the lifetime or voltage of the OLED. The simulations in SETFOS were used to determine the optimal thickness of the hole transport layer (HTL) for different refractive indices and to simulate the improvement of the internal light extraction depending on the refractive index of the HTL.[2]


3. Spontaneous Orientational Polarization (SOP) 

In 2022, the group addressed the issue of spontaneous orientational polarization (SOP) in the electron transport material TPBi. This phenomenon negatively affects the efficiency and lifetime of OLEDs. Mixing TPBi with non-polar, wide-energy-gap molecules led to an unexpectedly higher external quantum efficiency (EQE), that could not be explained with optical effects alone. Drift-Diffusion simulations performed with SETFOS could reproduce all qualitative changes and thus confirm that the reduction in SOP led to a decrease in exciton-polaron quenching and in turn an increase in efficiency.[3] 


Interested in trying Setfos for your own research?
We’re offering a free 1-month evaluation license so you can experience firsthand how Setfos can enhance your research capabilities in OLEDs, OPVs, and more.

👉 Get your free evaluation license today!


References

[1] Giebink, N. C.; Forrest, S. R. Thermodynamic Limit for Excitonic Light-Emitting Diodes. Phys. Rev. Lett. 2023, 130 (26), 267002. https://doi.org/10.1103/PhysRevLett.130.267002

[2] Giebink, C.; Low Refractive Index OLEDs for Practical High-Efficiency Outcoupling; Final Project Report, Penn State University, 2022. Low refractive index OLEDs for practical high-efficiency outcoupling. Final report (Technical Report) | OSTI.GOV

[3] Afolayan, E. O.; Dursun, I.; Lang, C.; Pakhomenko, E.; Kondakova, M.; Boroson, M.; Hickner, M.; Holmes, R. J.; Giebink, N. C. Reducing Spontaneous Orientational Polarization via Semiconductor Dilution Improves OLED Efficiency and Lifetime. Phys. Rev. Applied 2022, 17 (5), L051002. https://doi.org/10.1103/PhysRevApplied.17.L051002

Previous
Previous

Stability Testing and Electronic Characterization of Kesterite Solar Cells for Indoor Applications

Next
Next

How to correctly simulate the EQE of an organic tandem solar cell using full optoelectronic simulations